
The theories set forth in the following essay are based on those put forth by Dr. L.G. Heller and Dr. James Macris in their 1970 monograph Toward a Structural Theory of Literary Analysis and further developed by Keith Bernhard (the author of this essay) in his 1980 master’s thesis A Parametric Analysis of the Celtic Elements in the Mythology of J.R.R. Tolkien.
BEYOND EXPLANATION LIES ENCHANTMENT
The Aesthetic and The Imp of the Perverse
The full quote is: “Beyond explanation lies Enchantment, and within Enchantment lies all that really matters. Be happy that you are still surrounded by Enchantment. It may not always be so, nor has it always been this way. Never, however, cease to question the nature of Enchantment, for there is a great deal of difference between True Enchantment and a mere sleight of hand trick even though it may not always appear to be so.”
I wrote that 48 or so years ago. It appears on the first and second page of the handwritten manuscript of The Six Stones and has been truncated in subsequent drafts to: “Beyond explanation lies Enchantment, and within Enchantment lies all that really matters. Never, however, cease to question the nature of Enchantment, for there is a great deal of difference between True Enchantment and a mere sleight of hand trick even though it may not always appear to be so.”
The Six Stones is a sprawling fantasy novel that I am still writing, but for the purpose of our current discussion that is not important. What is important is that, although I did not know it then, I had just encapsulated my aesthetic.
It is the duty of the artist (no matter what medium) to bring, to guide the reader, listener, viewer, to the edge of the abyss. The artist cannot push the reader, viewer, listener over that edge. The artist merely creates the possibility of a willful plunge, engenders a willingness to plunge into the abyss which lies beyond explanation, and within which is found Enchantment. The extent to which the artist is successful in this duty reflects the artist’s mastery of the respective medium.
Edgar Allan Poe in his short story The Imp of the Perverse, published in the July 1845 issue of Graham’s Magazine, expresses it thus: “There is no passion in nature so demonically impatient, as that of him who, shuddering upon the edge of a precipice, thus meditates a plunge. To indulge, for a moment, in any attempt at thought is to be inevitably lost; for reflection but urges us to forbear, and therefore it is, I say, that we cannot. If there be no friendly arm to check us, or if we fail in a sudden effort to prostrate ourselves backward from the abyss, we plunge, and are destroyed.
Examine these and similar actions as we will, we shall find them resulting solely from the spirit of the Perverse. We perpetuate them because we feel that we should not.”
Such is the Perversity of Art and the Artist as its Perpetrator. The artist encourages us to abandon what reason tells us must be and seeks to speak to our imagination and thus enable us to embrace our poetic soul.
A STRUCTURAL PERSPECTIVE OF
THE INTELLECTUAL SKELETON
UPON WHICH HANGS
THE ARTIFICE
Of paramount importance going forward in this analysis is to keep in mind that it is just that – an analysis – it is not meant to be a method of literary criticism, nor should it be construed as such. Keep in mind that these are non-distinctive units unless bundled within the parameters (context) of the story as presented by an author.
THE ANATOMY OF A BETRAYAL
BETRAY: to lead astray; to seduce; to fail or desert especially in time of need
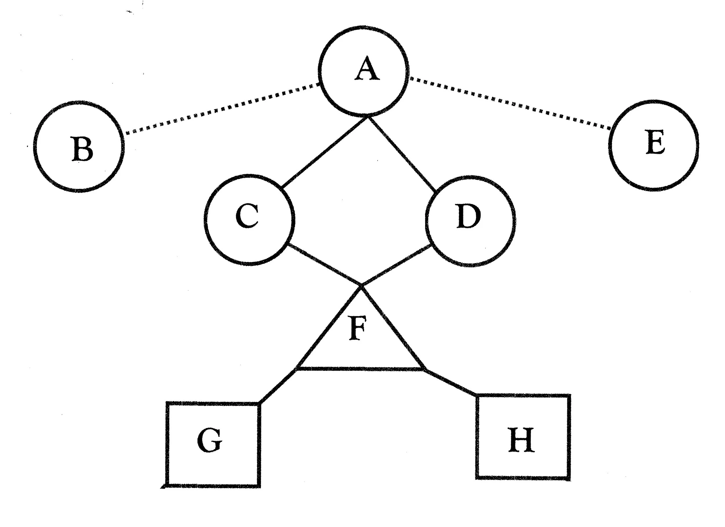
As I am an author, a storyteller who uses written words, I will confine my discussion to that medium. I will take one theme – betrayal – and then proceed from the following premise: a Character (we’ll call the character Y) is facing a Genuine Option. According to William James a Genuine Option is FORCED (a choice must be made), LIVE (it is what the chooser subjectively wants), and MOMENTUS (it will impact the chooser meaningfully). Another Character (who we’ll call X) convinces Y that he (my use of the male pronoun throughout is merely for the sake of convenience and does imply gender as a meaningful parameter) can help Y to achieve the desired condition(s) to resolve the Genuine Option favorably; however, in reality Y cannot help X to do so.
Proceeding from X’s representation to Y regarding the latter’s Genuine Option [A] (letters in brackets refer to diagram) are two (and only two) pairs of mutually exclusive structures.
In one pair X can aid Y in the achievement of [A], the prerequisite being that X is telling the truth [B], or X cannot aid X in the achievement of [A], the prerequisite being X is lying [C].
In the other pair Y believes that X can aid him in the achievement of [A] and X actually can do so, the prerequisite being X is telling the truth [E], or Y believes that X can aid him in the achievement of [A] and X cannot do so, the prerequisite being X is lying [D].
Given the contextual premise that X is incapable of fulfilling his promise to Y, [B] & [E] are nullified while [C] & [D] remain, both of which lead to Y’s trust in X being betrayed [F].
Another mutually exclusive paired structure branches out from [F]: either [G] X has consciously betrayed Y or, [H] X has unconsciously betrayed Y.
The next mutually exclusive paired structure which proceeds from [G] & [H] is: either [I] Y finds out about X’s conscious betrayal or, [J] Y finds out about X’s unconscious betrayal.
Upon Y’s discovery of X’s betrayal (whether conscious or unconscious) X can actively admit the betrayal to Y and to himself and be honest [K].
Should this be the case then X and Y would or could reconcile [L]; however, the act of betrayal remains unchanged since X will not have aided Y in the achievement of [A].
The next two mutually exclusive paired structures that could proceed from [I] & [J] are: X can be deceitful and actively deny the betrayal to Y and to himself [M] or, X can ignore the betrayal and passively deny it to Y2 and to himself [N]. The second is: X is again deceitful and actively denies the betrayal to Y while actively admitting it to himself [O] or, X can ignore the betrayal and passively deny it to Y while passively admitting it to himself [P].
These paired structures [M/N] & [O/P] both lead to X’s continued betrayal of Y and enable X to maintain the façade of truthfulness not only to Y, but to everyone else, much to the disillusionment, angst, and embarrassment of Y [Q].
CONTEXT
Recall my assertion that the structures as presented in the diagram are non-distinctive units unless they are bundled within the parameters (context) of a story. This is the key to coming full circle (as I shall) to The Imp of the Perverse and “Beyond Explanation Lies Enchantment”.
The premise [A] from which all the following contextual bundles proceed is that X has lied to Y about being able to use his connections (or whatever) to get Y something he really wants to get, and that means a great deal to him (a role in a film, for example) [C]. Y fervently believes in X [D]. This is the skeleton of the betrayal [F].
This premise [A, C, D, & F] is included in all the following bundles and is represented by [F] alone. I do not list below every element in the premise to avoid presenting a more elaborate alphabet soup that I have already.
BUNDLE 1 [F, H, J, K, L] – Let’s say that X is well-meaning but completely ill-equipped to fulfill his promise to Y. In short, X believes his own boasts, so he keeps stringing Y along until Y realizes this and confronts X, at which time X admits that he’s been blowing smoke and apologizes. Y accepts the apology, freeing up X to continue his blissfully ignorant betrayals elsewhere, while Y is left disillusioned and still trying to get the role.
BUNDLE 2 [F, G, I, K, L] – So, in this context X is not a benign con man, but an insidious grifter who has intentionally betrayed Y. Y finds this out and confronts X. For whatever reason X unremorsefully admits his deceit. As a result Y blows him off, which begs the question as to what X might do next and how responsible Y might be for it since he let him go (such is the fodder of sequels); nevertheless, Y is left disillusioned and still trying to get the role.
BUNDLE [F, H, J, N, Q] – Within this contextual bundle X is completely ill-equipped to fulfill his promise to Y, but ignores the fact that he has had no success with the meagre attempts he has made or, for that matter, that he does not have the wherewithal to keep his promise. He keeps stringing Y along until Y finds this out and confronts X, who lets it run off his back and continues to make the same false claims to Y, others, and himself. X faces no reckoning. Y is left with disillusionment, angst, and embarrassment. And still no role.
BUNDLE 4 [F, G, I, M, Q] – In this contextual bundle X has known all along that he cannot and will not fulfill his promise to Y, and strings Y along with false promises, compounded lies, and excuses. Eventually Y finds this out and confronts X, who outright denies the betrayal to Y and to himself and continues to delude Y, himself and others (maintaining his façade). Again, X faces no reckoning. Y is left with disillusionment, angst, and embarrassment. And still no role.
BUNDLE 5 [F, G, I, O, Q] or [F, G, I, P, Q] or [F, H, J, O, Q] or [F, H, J, P, Q] – In this scenario it does not matter if X knows he can’t keep his promise to Y or if he is blithely ignorant of it (he can’t be both). What matters herein is how X admits it to Y after being confronted by Y. He either acts insidiously acknowledging to himself (but not to Y) that he never had any intention of keeping his promise to Y; or X even though he has become aware of the fact that he was never going to be able to keep his promise to Y ignores it and does not admit it to Y. Once again, X faces no consequences while Y is left disillusioned, embarrassed, and filled with angst. And still no role.
While these different bundles might not seem that different, depending on the context within which they unfold, they can be. That is the point: The underlying structure can remain constant while the way it is contextually manipulated (i.e., artfully told) is unique. Consider this diagram:
This is Context Sensitive Supressed Structure Irony, wherein a character by doing what he believes will enable him to achieve his goal by that very action (and unbeknownst to him) is doomed not only not to achieve his goal but also to bear unfavorable consequences as a result.
To illustrate how a structure such as Content Sensitive Suppressed Structure Irony is not unique to any specific contextual betrayal, consider Griphook’s betrayal of Harry, Ron, and Hermoine in Harry Potter and the Deathly Hallows:
Both in the generic betrayal example and in the specific example from The Deathly Hallows a character is denied the expected goal of his respective action because of the context of the situation – i.e., the expected result is precluded by the context sensitivity of the underlying structure (Suppressed Structure Irony).
Another structure is woven into the Harry Potter example:
While this is similar to Suppressed Structure Irony, it goes deeper to a more complex structure – Antithetical Conflict – wherein a character makes a choice to do something the result of which is antithetically opposed to the intended result of that choice.
You will also notice that there is no antithetical conflict woven into a generic betrayal. This is because it is a simplex structure by the very nature of it being generic. The artist needs to create the tale of betrayal before more complex and distinctive structures reveal themselves, interlock with each other, become an organic whole greater than the sum of its parts.
These structures do not exist a priori.
They emerge a posteriori.
PLUNGING INTO THE ABYSS
OR
STEPPING BEYOND EXPLANATION

This essay neither implies nor suggests that artists are cognizant of the structures which underly their art. Indeed, to imply such would be the antithesis of this aesthetic. To assert that the artist consciously twists his tale, music, mural to conform to these structures would imply that there is no precipice from which to leap, no abyss into which to plunge. There would be only explanation and no enchantment.
The artist, through his art, creates the milieu wherein we might elevate our poetic soul; the artist leads us to the edge of the cliff, to the brink of the abyss…he does not – cannot – push or hurl us over the edge; the artist engenders the potential for a willful plunge, conjures up the desire to plunge into the abyss beyond explanation, wherein lies Enchantment.
